Tyydyttämättömän palvelutarpeen huomioiminen hyvinvointialueiden rahoituksessa edellyttää kattavampia rekisteritietoja
Noin joka kymmenes (12,6 %) Suomessa asuva kokee jäävänsä kokonaan tai osittain ilman itselle riittäviä lääkäri- ja hoitajapalveluja. Terveyden ja hyvinvoinnin laitoksen (THL) tutkimuksessa kävi ilmi, että suurempaa koettua tyydyttämätöntä palvelutarvetta oli monia sairauksia sairastavilla, ulkomaalaistaustaisilla, työttömillä, terveytensä huonoksi kokevilla sekä naisilla. Korkeimpaan tuloviidennekseen kuuluvat ja elämänlaatunsa hyväksi arvioivat kokivat muita vähäisempää tyydyttämätöntä palvelutarvetta.
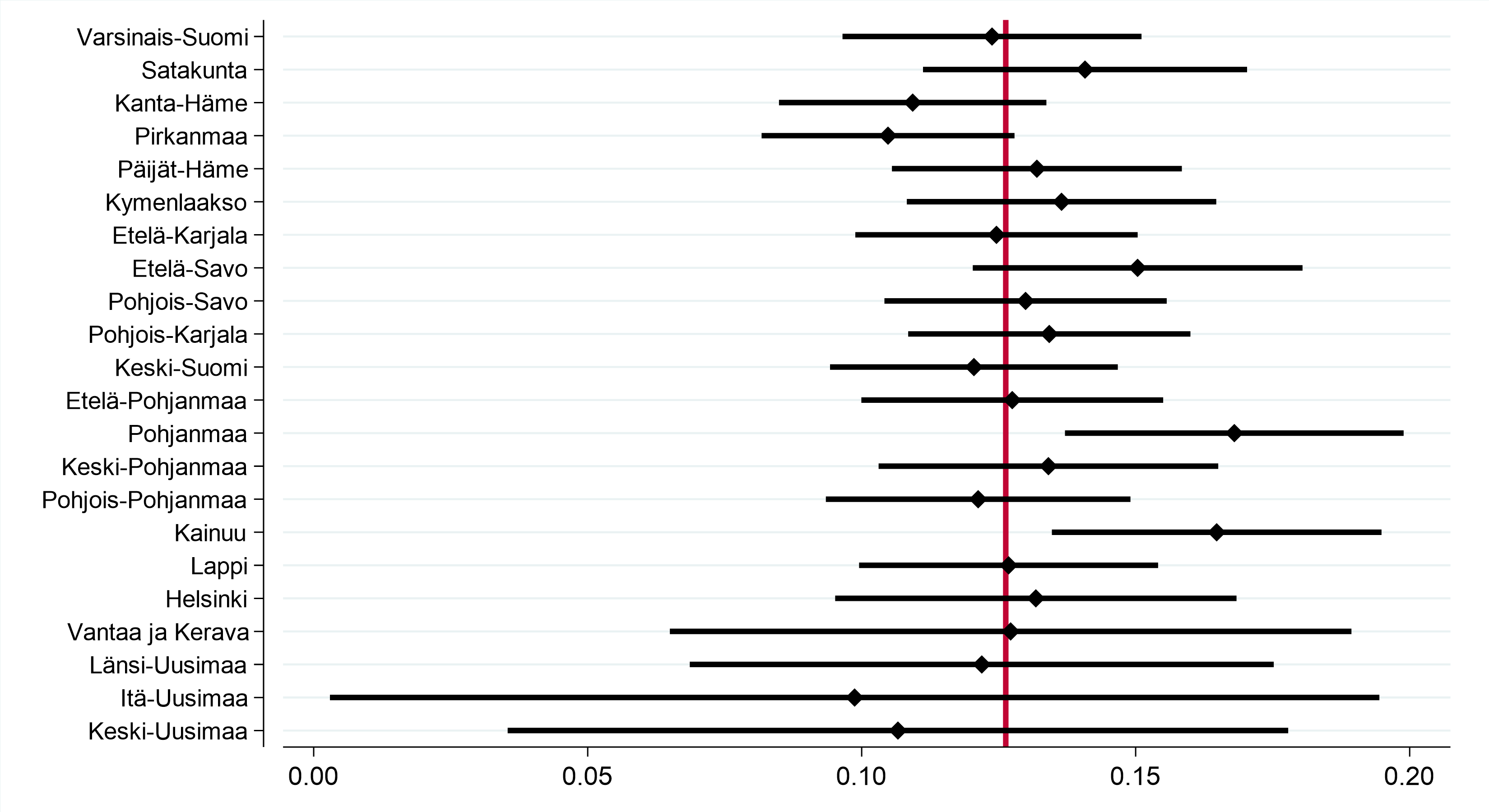
Eniten tyydyttämätöntä lääkäri- ja hoitajapalvelujen tarvetta koko maan keskiarvoon verrattuna koettiin Pohjanmaalla ja Kainuussa. Aluetasolla arvioitu tyydyttämätön palvelutarve ei ollut läheisessä yhteydessä hyvinvointialueiden rahoituksessa käytettävään terveydenhuollon tarveindeksiin.
Tyydyttämätöntä palvelutarvetta kokenut kulutti vuodessa 60 euroa enemmän perusterveydenhuoltoon ja 280 euroa enemmän koko terveydenhuoltoon kuin henkilö, joka ei kokenut tyydyttymätöntä palvelutarvetta, kun ikä, sukupuoli, sairastavuus ja sosioekonominen asema oli otettu tarkastelussa huomioon.
Tyydyttämätöntä lääkäri- ja hoitajapalvelujen tarvetta kokeneiden osuudet ja 95 prosentin luottamusvälit alueittain. Vakioitu ikä, sukupuoli, sairastavuus ja sosioekonomiset tekijät. Klikkaamalla kuva aukeaa isommaksi.
THL:n tutkimuksessa aineistona käytettiin FinSote 2017–2018 kyselyaineistoa yhdistettynä THL:n tarvevakiointitutkimuksessa vuonna 2017 kerättyyn rekisteriaineistoon (n = 13 800).
Nykyinen hyvinvointialueiden rahoituksen kohdentamisessa käytettävä tarvevakiointi ei huomioi tyydyttämätöntä palvelutarvetta. Alueelliset erot koetussa tyydyttämättömässä terveyspalvelujen tarpeessa voivat johtaa epäoikeudenmukaiseen rahoituksen kohdentamiseen nykyisissä rahoituskriteereissä.
”Jotta koettu tyydyttämätön terveyspalvelujen tarve huomioitaisiin paremmin rahoituksen kohdentamisessa, tulee jatkossa kerätä laajemmin ja rutiininomaisesti tietoja koetusta tyydyttämättömästä terveyspalvelujen tarpeesta ja itse arvioidusta elämänlaadusta. Koetun tyydyttämättömän terveyspalvelujen tarpeen vähentäminen ei välttämättä lisäisi perusterveydenhuollon tai koko terveydenhuollon kustannuksia,” sanoo THL:n emeritusprofessori Unto Häkkinen.
Lisätietoja
Koettu tyydyttämätön terveyspalvelujen tarve ja terveyspalvelujen käyttö
Yhteystiedot
Lien Nguyen
erikoistutkija
THL
puh. 029 524 7466
[email protected]
Unto Häkkinen
emeritusprofessori
THL
puh. 050 358 1141
[email protected]